Bón phân đạm và kali trên sinh trắc học bắp cải và mức độ dinh dưỡng của lá
Trong số các chất dinh dưỡng được cây bắp cải hấp thụ nhiều nhất thì đạm (N) và kali (K) được chiết xuất nhiều nhất; do đó, mục tiêu của nghiên cứu này là đánh giá phản ứng của việc bón phân N và K trên sinh trắc học bắp cải và mức độ lá của các vi chất dinh dưỡng vĩ mô và vi lượng. Bốn liều N (0, 75, 150, 300 kg ha-1 của N) và bốn liều K (0, 75, 150, 300 kg ha-1 của K2O). Sinh trắc học của đầu bắp cải (chiều cao, chu vi và đường kính) và năng suất được đánh giá. Mức độ vi lượng và vĩ mô của bắp cải cũng được đánh giá trong lá của cây ở giai đoạn hình thái của hình thành đầu. Việc bón phân đạm không ảnh hưởng đáng kể đến các biến được đánh giá phần lớn là do độ phì nhiêu tự nhiên của khu vực đất thí nghiệm. Sự thiếu phản ứng này nhấn mạnh tầm quan trọng của việc theo dõi liên tục tình trạng dinh dưỡng của khu vực sản xuất để tránh bón N không cần thiết. Hàm lượng Mg trong lá thấp nhất quan sát được ở 88 kg ha-1 K2O, sau đó hàm lượng Mg trong lá tăng lên. Liều lượng Zn trên lá giảm sau 133 kg ha-1 K2O. Đường kính và chu vi đầu bắp cải giảm khi liều lượng K2O tăng lên. Chiều cao đầu bắp cải tăng lên đến 128 kg ha-1 K2O. Trình tự giảm dần của các mức dinh dưỡng đa lượng và vi lượng trong lá bắp cải theo trình tự K> Ca> N> S> Mg> P và Mn> Fe> B> Zn> Cu không phụ thuộc vào mức độ của các yếu tố được bón.Keywords: Brassica oleracea var. capitata, crop yield, plant mineral nutrition
1. GIỚI THIỆU
Bắp cải (Brassica oleracea var. Capitata) là một trong những cây trồng được trồng nhiều nhất của họ thực vật họ Cải và những cải tiến về giống di truyền đã tạo ra những giống bắp cải có thể trồng được cả năm [1]. Cây trồng làm vườn này có chu kỳ ngắn, hệ thống rễ nông, và do đó, cần số lượng chất dinh dưỡng cao để thể hiện tiềm năng sản xuất của nó và chất lượng [2]. Cây bắp cải chiết xuất và xuất khẩu một lượng lớn chất dinh dưỡng. Nitơ (N) và kali (K) là những chất dinh dưỡng được chiết xuất nhiều nhất [3; 4].
A.C.M.M. Silva và cộng sự, Scientia Plena 17, 010201 (2021) 2
Theo Wang et al. (2013) [4], K cần thiết cho sự hình thành và chuyển vị của cacbohydrat, nó cải thiện hiệu quả sử dụng nước và tăng chất lượng thương mại của sản phẩm cuối cùng (đầu bắp cải). Domingues Neto và cộng sự. (2016) [5] báo cáo rằng để có được năng suất cao, bắp cải không thể bị thiếu dinh dưỡng, là N cần thiết để tạo ra đầu bắp cải nhỏ gọn (độ cứng lớn) mà thị trường mong muốn.
Mặc dù tầm quan trọng của quản lý dinh dưỡng bắp cải và tác động kinh tế và xã hội của bắp cải, có rất ít nghiên cứu về việc quản lý bón phân hợp lý cho cây trồng. Duarte và cộng sự. (2019) [6] báo cáo rằng có sự bất đồng giữa việc bón phân theo khuyến cáo trong tài liệu và việc bón phân hiệu quả của nông dân, những người thường sử dụng liều lượng chất dinh dưỡng cao hơn. Theo Zhang và cộng sự. (2010) [7], việc quản lý N hiện nay không cung cấp chất dinh dưỡng cân đối với nhu cầu của cây trồng, dẫn đến lãng phí phân bón và hiệu quả thu hồi chất dinh dưỡng thấp.
Do đó, mối quan hệ tốt nhất của các chất dinh dưỡng được áp dụng sẽ góp phần tạo ra năng suất cao, giảm chi phí sản xuất và tác động môi trường thấp. Vì vậy, mục tiêu của nghiên cứu này là đánh giá ảnh hưởng của liều lượng N và K trong sinh trắc học và mức độ lá của các chất dinh dưỡng vĩ mô và vi lượng.
2. VẬT LIỆU VÀ PHƯƠNG PHÁP NGHIÊN CỨU
Nghiên cứu này được thực hiện trong một khu vực thử nghiệm trong lĩnh vực làm vườn của Viện Giáo dục, Khoa học và Công nghệ Liên bang của Triângulo Mineiro (IFTM), Brazil. Khu vực này nằm ở tọa độ 19º39’19 ”S và 47º57’27” W, 800 m so với mực nước biển. Khí hậu, dựa trên phân loại quốc tế của Köppen, là Aw (nhiệt đới, mùa hè nóng và ẩm, với mùa đông lạnh và khô) [8]. Trong quá trình thí nghiệm, lượng mưa tích lũy và nhiệt độ trung bình lần lượt là 672,68 mm và 23,8 ºC.
Đất của khu vực thí nghiệm là loại Latosol đỏ Dystrophic có kết cấu trung bình (21% sét) [9]. Khu vực thí nghiệm được sử dụng để sản xuất rau trong nhiều năm bằng cách bón phân hữu cơ và khoáng. Trước đây đến việc trồng bắp cải để nghiên cứu hiện nay, diện tích được trồng là bắp xanh. Các mẫu đất được thu thập trước khi lắp đặt thí nghiệm ở lớp đất 0-0,2 m, và các đặc tính hóa học của đất được phân tích theo phương pháp được mô tả bởi Raij và cộng sự. (2001) [10]. Kết quả hóa học của đất được trình bày trong Bảng 1.
Bảng 1. Đặc điểm hóa học của đất ở tầng đất 0-0,2 m.

Dung dịch Ca, Mg, Al = KCl (1 mol L-1); Dung dịch đệm H + Al = SMP (pH 7,5); BS = tổng cơ sở (cmolc dm- 3); CEC = khả năng trao đổi cation ở pH 7; V = độ bão hòa của bazơ; K = 0,05 mol L-1 HCl + H2SO4 0,0125 mol L-1; P = nhựa thông; S = canxi photphat; S.O.M. = chất hữu cơ trong đất (phương pháp so màu). Axit B, Cu, Fe, Mn, Zn = DTPA. Nguồn phương pháp luận: [10].
Theo phân tích hóa học đất, vôi được bón để nâng độ bão hòa của đất lên 70% theo khuyến cáo của Ủy ban Độ phì của Đất [11] cho bắp cải. Vôi là đá vôi nung (RPTN = 120), được phân bổ theo liều lượng duy nhất (1.600 kg ha-1), và sau đó được kết hợp với đất bằng cách cày và bừa đến độ sâu 0-0,2 m của đất. (A.C.M.M. Silva và cộng sự, Scientia Plena 17, 010201 (2021) 3
Thiết kế thử nghiệm được sử dụng là các khối ngẫu nhiên với bốn lần lặp lại trong sơ đồ giai thừa 4 × 4, là bốn liều N (0, 75, 150 và 300 kg ha-1 N) và bốn liều K (0, 75, 150 và 300 kg ha-1 của K2O). Các nguồn cung cấp N và K tương ứng là urê (45% N) và clorua kali (56% K2O).
Việc bón phân cơ bản cho đất diễn ra hai ngày trước khi cấy cây con, và 300 kg ha-1 lượng P2O5 và 20% liều lượng N và K được áp dụng. Liều N và K còn lại cho mỗi công thức được áp dụng trong ba thời điểm: 20% liều lượng áp dụng cho 15 ngày sau khi cấy cây con, 30% bón 15 ngày sau lần bón thúc đầu tiên và 30% bón 15 ngày sau lần bón thúc thứ hai. Trong quá trình thí nghiệm, ba lần bón phân với bo (B, 1 g L-1 axit boric) và molypden (Mo, 0,5 g L-1 amoni molybdate) đã xảy ra thông qua bón lá. Các lần bón phân B và Mo là 20 ngày sau khi cây trồi và 15 và 30 ngày sau khi cấy cây con. Mỗi ô thí nghiệm có chiều dài 3,5 m và hai dây trồng, mỗi dây trồng 7 cây (mỗi ô 14 cây). Khoảng cách giữa các hàng trồng và giữa các cây tương ứng là 0,8 m và 0,5 m. Giống được nghiên cứu là Fênix (Sakata®), một giống có kích thước đầu trung bình, dạng bán dẹt, kháng Xanthomonas campestris pv ở mức trung bình. thân lá, trọng lượng trung bình 3 kg, chu kỳ 110 ngày, khả năng chống nứt nẻ cao. Việc gieo hạt được thực hiện vào tháng 3 năm 2016, trong khay polystyrene với 128 ô, chứa đầy chất nền thương mại được khuyến nghị để sản xuất cây giống rau. Các khay được đặt trong môi trường được bảo vệ và sau khi gieo hạt 35 ngày thì cấy cây con ra khu vực thí nghiệm.
Việc kiểm soát KDTV được thực hiện bất cứ khi nào cần thiết sau khi kiểm tra hàng ngày để xác minh nhu cầu kiểm soát cỏ dại, côn trùng và dịch bệnh. Cỏ dại thực vật đã được loại bỏ thủ công. Việc tưới tiêu được thực hiện thông qua hệ thống phun và được thực hiện bất cứ khi nào cần thiết để duy trì khả năng của ruộng đất.
Khi bắt đầu hình thành ngọn, các lá bắp cải mới trưởng thành được thu thập từ mỗi ô để xác định tình trạng dinh dưỡng của cây dựa trên tình trạng dinh dưỡng của bắp cải do Trani và Raij (1997) [12] đề xuất. Lá được rửa nhẹ và làm khô để xác định mức độ dinh dưỡng của lá (N, P, K, Ca, S, Mg, B, Cu, Fe, Mn, Zn). Việc chuẩn bị và phân tích lá được thực hiện theo phương pháp do Carmo et al đề xuất. (2000) [13].
Vụ thu hoạch được bắt đầu vào tháng 7 năm 2016, sau 83 ngày sau khi cấy, khi các đầu bắp cải đã nhỏ gọn và phát triển đầy đủ, thể hiện các đặc tính thị trường tuyệt vời. Trong mỗi lô, tám cây trung tâm được thu hoạch và cân để thu được khối lượng tươi của đầu bắp cải có các lá liền kề (CML) và khối lượng tươi của đầu bắp cải thương phẩm (không có các lá liền kề) (CCH). Chiều cao, chu vi và đường kính của đầu bắp cải được đo bằng thước và thước đo.
Dữ liệu của các biến được đánh giá được gửi tới ANOVA và phân tích hồi quy (p <0,05), sử dụng gói ExpDes của chương trình thống kê R. Mô hình phù hợp hơn với dữ liệu và mô tả đáng kể mối quan hệ giữa hai biến đã được chọn và trình bày dưới dạng đồ thị.
3. KẾT QUẢ VÀ THẢO LUẬN
Không có sự tương tác giữa các yếu tố (bón phân N và K) đối với bất kỳ biến nào được đánh giá trong nghiên cứu này. Việc đánh giá tình trạng dinh dưỡng của lá bắp cải chỉ ra rằng các yếu tố không ảnh hưởng đến hàm lượng các chất dinh dưỡng. Trừ Mg và Zn và chỉ bón K (Bảng 2).
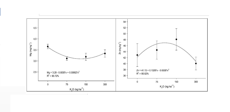
Mg và Zn phản ứng thích hợp với mô hình đa thức bậc hai phản ứng với liều lượng K2O (Hình 1). Hàm lượng Mg thấp nhất quan sát được trong lá bắp cải là với liều lượng 88 kg ha-1 K2O, từ đó hàm lượng Mg trong lá tăng lên. Ứng dụng K được công nhận bằng cách ức chế cạnh tranh sự hấp thụ của Mg [14]. Điều này không được quan sát thấy trong nghiên cứu hiện tại, nơi chỉ quan sát thấy mức giảm ban đầu trong mức Mg. Tuy nhiên, mức độ Zn trên lá sẽ giảm sau một lượng K2O nhất định; Zn được cây hấp thụ dưới dạng Zn2 +, và trong trường hợp vi chất dinh dưỡng cation này, liều lượng trên 132,8 kg ha-1 làm giảm mạnh mức độ lá Zn trong bắp cải.
Bảng 2. Số liệu trung bình của lá bắp cải và phân tích sự khác nhau của các chất dinh dưỡng được đánh giá theo chức năng của phân bón nitơ và kali.

N = liều lượng nitơ; K2O = liều lượng oxit kali; ns = không đáng kể; “**” = có ý nghĩa với xác suất 1% của phép thử F; FN: Giá trị thử nghiệm F đối với các liều yếu tố N; FK: Giá trị thử nghiệm F cho các liều yếu tố K; FNxK: Giá trị kiểm định F cho sự tương tác giữa các yếu tố N và K; C.V. (%) = hệ số biến thiên.
Bảng 1. Mức độ magiê trong lá bắp cải (biểu đồ bên trái) và kẽm (biểu đồ bên phải) như một chức năng của phân bón kali. Mỗi điểm trong cả hai đồ thị là trung bình của 16 quan sát. Thanh đại diện cho sai số tiêu chuẩn.
Trình tự giảm dần của các mức dinh dưỡng đa lượng trong lá bắp cải theo trình tự K> Ca> N> S> Mg> P, bất kể mức độ của các yếu tố (bón phân N và K). Trong số các vi chất dinh dưỡng, thứ tự là Mn> Fe> B> Zn> Cu. Các mức dinh dưỡng đa lượng quan sát được ở giai đoạn âm vị học của bắp cải này khác với [15], người đã báo cáo mức K trên lá cao hơn so với mức N. Tuy nhiên, các giống bắp cải lai hiện tại đã cho thấy nồng độ Ca trong lá lớn hơn nồng độ N, như được báo cáo bởi [3], chứng thực cho kết quả được tìm thấy trong nghiên cứu này.
Berça, Mendonça và Souza (2019) [16] đã đánh giá mức độ vi lượng và vĩ mô trong lá bắp cải khi thu hoạch. Họ cũng quan sát thấy rằng hàm lượng các chất dinh dưỡng đa lượng tuân theo trình tự N> K> Ca> S> Mg> P, và các chất dinh dưỡng vi lượng tuân theo trình tự Fe> Mn> Cu> Zn> B. Sự khác biệt trong quản lý cây trồng (ví dụ, dinh dưỡng, tưới tiêu, kiểu gen), cũng như sự khác biệt về đất, có thể ảnh hưởng đến kết quả của các thí nghiệm; tuy nhiên, sự khác biệt giữa kết quả được quan sát bởi Berça, Mendonça và Souza (2019) [16] và kết quả của nghiên cứu hiện tại có lẽ là do thời gian
đánh giá của các lá bắp cải. Trong cả hai thí nghiệm, các chất dinh dưỡng đa lượng N, Ca và K, và các chất vi lượng Fe và Mn được lá bắp cải tích lũy nhiều nhất.
Các đánh giá sinh trắc học bắp cải (chiều cao, đường kính, trọng lượng và khối lượng) chỉ ra rằng việc bón phân N không ảnh hưởng đến các biến số này đối với các điều kiện ăn sâu của nghiên cứu này. Rất có thể, N cho sự phát triển toàn diện của cây trồng được cung cấp bởi chất hữu cơ trong đất [17], trong nghiên cứu này là 36,33 g dm-3, che đi ảnh hưởng của việc bón N. Tuy nhiên, các biến này bị ảnh hưởng bởi yếu tố: K bón (p <0,05) (Bảng 3).
Bảng 3. Giá trị trung bình sinh trắc của bắp cải và phân tích phương sai của các chất dinh dưỡng được đánh giá theo hàm lượng phân đạm và kali.

N = liều lượng nitơ; K2O = liều lượng oxit kali; ns = không đáng kể; “*” Và “**” = có ý nghĩa ở xác suất 5 và 1% theo phép thử F, tương ứng; FN: Giá trị thử nghiệm F đối với các liều yếu tố N; FK: Giá trị thử nghiệm F cho các liều yếu tố K; FNxK: Giá trị kiểm định F cho sự tương tác giữa các yếu tố N và K; C.V. (%) = hệ số biến thiên. CML = khối lượng tươi đầu của bắp cải với tất cả các lá; CCH = khối lượng đầu bắp cải tươi không có tất cả các lá (đầu bắp cải thương phẩm).
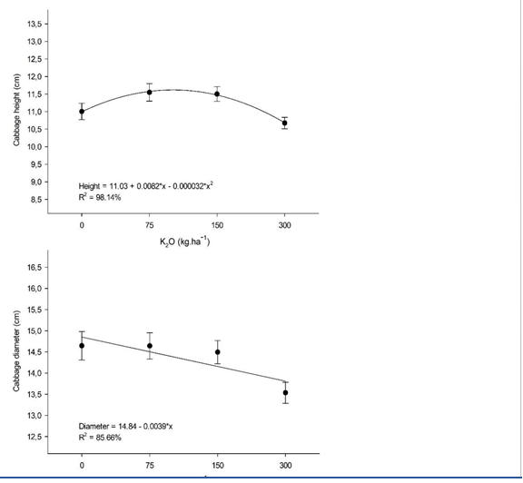
Chiều cao của đầu bắp cải bị ảnh hưởng bởi liều lượng K theo phản ứng mô hình bậc hai (Hình 2). Chiều cao tối đa của đầu bắp cải (11,56 cm) được quan sát với liều lượng 128 kg ha-1 K2O. Đường kính và chu vi của đầu bắp cải bị ảnh hưởng bởi liều lượng K2O sau đây. Các mô hình tuyến tính của phản ứng. Đường kính ban đầu (0 kg ha-1 của K) là 14,84 cm và giảm khoảng 0,0039 cm đối với mỗi kg K2O được bón trên mỗi ha. Chu vi đầu bắp cải ban đầu là 49,26 cm và giảm đi khoảng 0,0113 cm cho mỗi kg K2O bón trên một ha.
Liều lượng K2O tối đa (128 kg ha-1) cho chiều cao đầu bắp cải (11,56 cm); tuy nhiên, có xu hướng phản ứng tiêu cực với việc tăng liều lượng K2O đối với các biến khác được đánh giá. Tác động tiêu cực này có thể liên quan trực tiếp đến ảnh hưởng mặn của nguồn K được sử dụng (KCl) [18], hoặc thậm chí do sự cạnh tranh giữa các chất dinh dưỡng cation.


Hình 2. Chiều cao, đường kính và chu vi của bắp cải như một chức năng của phân kali. Mỗi chấm là trung bình của 16 quan sát. Thanh đại diện cho lỗi tiêu chuẩn.
Sản lượng sinh khối của các đầu bắp cải có lá liền kề hoặc thương phẩm (không có lá liền kề) bị ảnh hưởng bởi liều lượng K theo mô hình phản ứng bậc hai (Hình 3). Khối lượng lớn nhất của đầu bắp cải với các tấm liền kề (1,42 kg) và đầu thương phẩm lớn nhất (1,23 kg) được thu được với liều lượng K2O là 128 và 123 kg ha-1.

Hình 3. Khối lượng của đầu bắp cải với các lá liền kề và thương phẩm (đầu không có lá liền kề) làm chức năng bón phân kali
Phản ứng của bắp cải với N có thể thay đổi và phụ thuộc vào các yếu tố như mùa sinh trưởng [19] và kiểu gen được trồng [5]. Moreira và Vidigal (2011) [20] đã quan sát thấy sự gia tăng khối lượng bắp cải khi tăng liều lượng N của phân đạm; tuy nhiên, các tác giả này đã sử dụng liều N vượt quá 300 kg ha-1, khác với nghiên cứu hiện tại. Các tác giả này cũng quan sát thấy rằng khối lượng lớn nhất của đầu thương phẩm là 1,13 kg ở liều 277,8 kg ha-1 của N, gần với giá trị lớn nhất thu được trong nghiên cứu hiện tại, ở đó liều lượng 150 kg ha-1 của N đã sản xuất khối lượng đầu thương phẩm là 1,09 kg (Bảng 3).
N liều được áp dụng không ảnh hưởng đến các biến được đánh giá trong nghiên cứu này. Tuy nhiên, Aquino et al. (2005) [1] quan sát thấy trọng lượng trung bình của đầu bắp cải cao hơn ở liều lượng N được đánh giá cao nhất (300 kg ha-1) và khoảng cách trồng là 0,8 × 0,3 m. Việc bón nhiều phân cho đất có thể giải thích cho tình trạng này trong khu vực, một tình trạng thường thấy ở các khu vực trồng rau. Fontanétti và cộng sự. (2006) [21] chỉ ra rằng việc trồng bắp cải có thể được hưởng lợi nếu trước đó việc trồng cây gai dầu được bổ sung 20 tấn ha-1 phân hữu cơ ướt, cho thấy rằng N có nguồn gốc hữu cơ rất quan trọng đối với cây trồng này.
Bắp cải phản ứng với K và hiệu quả thu hồi K từ đất cao do hàm lượng lá cao. Kết quả chỉ ra rằng việc tăng liều lượng K làm tăng đáng kể năng suất bắp cải thương phẩm lên đến 123 kg ha-1 liều K2O. Tuy nhiên, nghiên cứu được thực hiện bởi Ribas et al. (2015) [22] trong điều kiện có sẵn K đáng kể trong đất (K = 129 mg.dm-3), tương tự như được tìm thấy trong nghiên cứu hiện tại (K = 138 mg.dm-3, Bảng 1), đã không xác định được sự khác biệt (p> 0,05) về đường kính hoặc năng suất đầu bắp cải, ngay cả khi bón 360 kg ha-1 K2O. Các kết quả mâu thuẫn được tìm thấy bởi Ribas et al. (2015) [22] và trong nghiên cứu này đã chứng minh tầm quan trọng của việc theo dõi và quản lý các chất dinh dưỡng trong đất, đặc biệt là K đối với việc trồng bắp cải.
Việc bón quá nhiều K, vượt quá giới hạn của các phản ứng tích cực, năng suất, có thể làm tăng độ mặn của đất (đặc biệt với KCl là nguồn cung cấp K) và làm giảm sự hấp thụ của các cation khác (chủ yếu là canxi và magiê), do đó làm mất chất dinh dưỡng do rửa trôi và giảm năng suất cây trồng.
Sự thiếu khác biệt đáng kể giữa các kết quả từ liều N được quan sát trong nghiên cứu này chỉ ra rằng một khu vực được quản lý trong nhiều mùa với rau có thể cung cấp nhu cầu N của bắp cải. Đối với K, liều lượng bón có thể ảnh hưởng đến phản ứng của các biến được nghiên cứu (p <0,05), cho thấy tầm quan trọng của việc theo dõi cẩn thận hàm lượng K trong đất và lượng phân K bón. Việc giám sát giữa các vụ thu hoạch này sẽ ngăn ngừa sự thiếu hụt chất dinh dưỡng này trong các mùa vụ trong tương lai, đặc biệt là sau vụ bắp cải (tiêu thụ nhiều K). A.C.M.M. Silva và cộng sự, Scientia Plena 17, 010201 (2021) 8
4.KẾT LUẬN
Việc bón phân đạm không ảnh hưởng đáng kể đến bất kỳ biến nào được đánh giá đối với bắp cải, cho thấy rằng đối với các điều kiện tương tự như nghiên cứu này, việc áp dụng N có thể không tạo ra sự gia tăng đáng kể cho sản xuất bắp cải.
Hàm lượng Mg trên lá giảm cho đến khi sử dụng 88 kg ha-1 K2O với liều lượng 88 kg ha-1, từ đó hàm lượng Mg trên lá tăng lên và mức Zn trên lá giảm sau 133 kg ha-1 K2O. Việc bón K2O từ 88 đến 133 kg ha-1 sẽ tạo ra hàm lượng Mg và Zn lớn hơn trong lá bắp cải. Sinh khối lớn nhất của đầu bắp cải có các tấm liền kề (1,42 kg) và phần đầu thương phẩm (1,23 kg) thu được với lần lượt là 128 và 123 kg ha-1 K2O. Do đó, việc sử dụng 123- 128 kg ha-1 K2O sẽ tạo ra hàm lượng Mg và Zn tốt và cho năng suất bắp cải cao.
5. LỜI CẢM ƠN
Các tác giả thừa nhận Instituto Federal de Educação, Ciência e Tecnologia do Triângulo Mineiro (IFTM) đã hỗ trợ việc thực hiện nghiên cứu này. Gửi tới Cơ quan Điều phối Nâng cao Nhân viên Cấp trên (CAPES) để nhận học bổng tài trợ, và Tiến sĩ Édimo Fernando Alves Moreira để được hỗ trợ về thống kê và xử lý dữ liệu.
(Nguồn: scientiaplena.org.br, ngày 17/1/2021)